C#public partial class ViewModel : ObservableObject
{
[ObservableProperty]
private string name;
private bool CanSubmit() => !string.IsNullOrEmpty(name);
[RelayCommand(CanExecute = nameof(CanSubmit))]
private void Submit()
{
Debug.WriteLine($"Name: {name}");
}
}
C#partial class MainViewModel : ObservableValidator
{
[ObservableProperty]
private string name = "";
private bool CanSubmit() => !string.IsNullOrEmpty(Name);
[RelayCommand(CanExecute = nameof(CanSubmit))]
private async Task SubmitAsync()
{
await Task.Delay(1000);
}
}
C#[RelayCommand(CanExecute = nameof(CanSubmit), IncludeCancelCommand = true)]
private async Task SubmitAsync(CancellationToken token)
{
try
{
await Task.Delay(2000, token);
}
catch (OperationCanceledException)
{
}
}
C#public partial class MainViewModel : ObservableObject
{
[ObservableProperty]
[NotifyPropertyChangedFor(nameof(FullName))] //支持传入多个属性的名称
private string firstName = ""; //setter 中会生成形如 OnPropertyChanged("FullName") 的代码
public string FullName => firstName + " " + lastName;
}
C#public partial class MainViewModel : ObservableObject
{
[ObservableProperty]
[NotifyCanExecuteChangedFor(nameof(FooCommand))] //支持传入多个中继指令的名称
private bool isFooEnabled; //会在 setter 中添加 FooCommand.NotifyCanExecuteChanged();
public IRelayCommand FooCommand { get; }
}
如果希望在一个 ObservableValidator 对象中验证属性的值是否有效,可以为字段添加 NotifyDataErrorInfo 特性:
C#public partial class SignUpViewModel : ObservableValidator
{
[Required]
[EmailAddress]
[ObservableProperty]
[NotifyDataErrorInfo]
private string email = ""; //会在 setter 中添加 ValidateProperty(value, "Email") 的代码
如果希望为生成的属性添加额外的特性,尤其比如 JsonIgnore 等,从而在序列化时忽略这个属性,可以使用下面这个特殊语法:
C#public partial class MainViewModel : ObservableObject
{
[ObservableProperty]
[property: JsonIgnore]
private string name = "";
}
如果希望在属性值发生变化后执行额外的逻辑,还可以借助分部方法来实现。从 基本用法 的中给出的后台生成的完整代码中可以发现,setter 中存在一些分部方法,名称为 `OnChanged。借助这些分部方法,我们就可以实现这个需求。形如:
C#public partial class MainViewModel : ObservableObject
{
[ObservableProperty]
private string name = "";
partial void OnNameChanged(string value)
{
// Do something
}
partial void OnNameChanged(string oldValue, string newValue)
{
// Do something
}
}
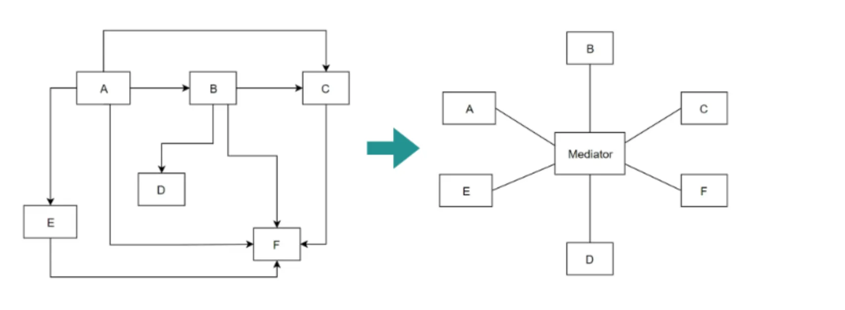
Messenger 是一个消息传递机制,它可以让对象之间进行通信,而不需要它们之间有直接的引用关系。从设计模式的角度来说,Messenger 其实是中介者模式的一种实现。

可以看出,在使用中介者模式之后,个模块之间不再呈现出网状结构,而是变成了星状结构。这样一来,模块之间的耦合就会大大降低,代码也会变得更加简洁。
Messenger 在很多 MVVM 框架中均能找到它的身影。虽然叫法不同,但是背后的原理及逻辑都是相通的。

本文作者:zhusenlin
本文链接:
版权声明:本博客所有文章除特别声明外,均采用 版权所有:zhusenlin 许可协议。转载请注明出处!